Learn More
Tocris Bioscience™ Janelia Fluor 525, SE

Description
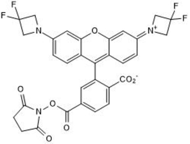
Janelia Fluor® 525, SE is a yellow fluorescent dye; supplied as an NHS ester for coupling to primary amine groups. NHS ester can be converted to relevant substrate for use in self-labeling tag systems, e.g. HaloTag™ and SNAP-tag™. Suitable for confocal fluorescent imaging and super resolution microscopy (SRM) techniques, such as dSTORM (live and fixed cells). Can be multiplexed for two color imaging with Janelia Fluor™ 635 SE (Cat. No. 6419). Cell permeable. Excitation maximum = 525 nm; emission maximum = 549 nm; quantum yield = 0.91; Extinction coefficient = 122,000 M-1cm-1; Correction factor A280 = 0.185.
Please see the protocol for further information on protein/antibody labeling and conjugation.
We also offer Janelia Fluor™ conjugated antibodies and custom conjugation services with our sister company Novus Biologicals.
HaloTag is a trademark of Promega Corporation, and SNAP-tag is a trademark of New England BioLabs, Inc.
Specifications
Specifications
| Chemical Name or Material | 3,6-Di-1-(3,3-difluoroazetidinyl)-9-[2-carboxy-5-[[(2,5-dioxo-1-pyrrolidinyl)oxy]carbonyl]phenyl]xanthylium, inner salt |
| Quantity | 2 mg |
| Target | Amine-Reactive Janelia Fluor™ Dyes |
| Molecular Formula | C31H21F4N3O7 |
Your input is important to us. Please complete this form to provide feedback related to the content on this product.