missing translation for 'onlineSavingsMsg'
Learn More
Learn More
Tocris Bioscience™ MRS 2905

Potent and selective P2Y14 receptor agonist
Brand: Tocris Bioscience™ 5633/1
This item is not returnable.
View return policy
Description
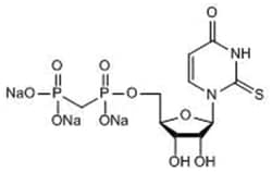
MRS 2905 is a potent and selective P2Y14 receptor agonist (EC50 = 0.92 nM). Exhibits >2000-fold selectivity over P2Y6.Specifications
| 2-Thiouridine-5′-O-(α, β-methylene)diphosphate trisodium salt | |
| 1 mg |
Product Content Correction
The Fisher Scientific Encompass Program offers items which are not part of our distribution portfolio. These products typically do not have pictures or detailed descriptions. However, we are committed to improving your shopping experience. Please use the form below to provide feedback related to the content on this product.
Product Title
Spot an opportunity for improvement?Share a Content Correction